FMEX倒闭坑了不少人,但最近拿出了一个重启方案,并且制定了和原来交易挖矿类似的规则用于解锁债务,交易解锁较为复杂,本文将给出一个下单方案,用于判断什么时候有利润,以及最优下单量。虽然人不应该两次踏入同一个坑,但在FMEX有债权的,不妨参考下,具体的能运行在FMZ量化平台的实盘策略可能也会放出。
排序解锁相关优化的文章也已经发出:https://www.fmz.com/digest-topic/5843
每日交易解锁额度,将分为两部分计算,并在合计后统一于次日返还。每部分分别返还该交易对当日额度的50%,具体算法为:
用户在某交易对当日可获得的交易解锁额度返还(第一部分)计算方法为:
该交易对每日交易解锁返还额度的50% * 用户在该交易对的成交量 / 该交易对的当日总成交量。
用户在某交易对当日可获得的交易解锁额度返还(第二部分)计算方法为:
定义每天中的每1分钟为一个交易解锁周期,每个周期分配交易对当日交易解锁额度的1/2880。每个周期内,按照用户成交量的占比分配该交易解锁周期的返还额度。
用户在该交易对每个交易解锁周期所获额度返还的总和,即该用户在该交易对当日可获得的解锁额度返还。
第一部分按日结算,无法提前计算。这里将主要优化第二部分,即分钟交易解锁周期。
根据规则,每个周期的用户解锁额度占比等于该周期用户交易量的占比,成本有手续费,平仓的亏损等。显然在分钟周期内,不能期待挂单成交,手续费需要按吃单计算,如果成交后立即反手卖出,将会产生0.5美元的平仓损失(FMEX最小挂单价格变化)。这里计算考虑不立即平仓,等待下个周期交易优先平仓。
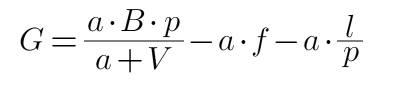
每分钟解锁收益可以用以下公式得出:

其中G为解锁收益,a为下单量,B为周期解锁BTC总额,p为BTC价格,V为周期内成交量,f为手续费,l为平仓的预期损失。
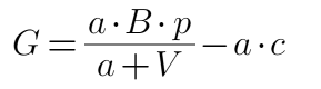
将交易的损失统一为c,公式简化为:
![]()
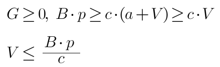
显然周期交易量V越大,越难解锁,不妨先考虑以下,当V小于多少时,挖矿是有利的:
![]()
假设周期解锁BTC总价值为100美元,平均成本为万5,则当V大于20000美元时,交易挖矿没有利润(没有考虑第一部分返还)
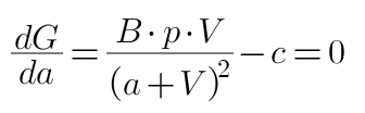
由于解锁额度要看成交量占比,如果只下单1美元,会解锁很少,如果下单100000美元,成本会很高,有可能亏损,期间有个最优的下单量。直接求导,导数为0即求出最优下单量a(a小于0表示不下单):
![]()

![]()
同样这里假设周期解锁BTC总价值为100美元,即B*p=100,交易成本c=0.0005,当周期交易量V=1000时,求解得到最有下单量a=13142美元,将解锁G=79.2美元。如果成本c=0.001,则a=9000,G=77。自己不妨验证一下,其它交易量的G会不会比最优值小。
当V=10000,c=0.0005时,a=34721,G=28。可见随着周期内交易量越大,我们的下单量也要越大,收益也越小。
特殊情况,当V=0时,a=1(最小下单量)。
最大的问题是并不知道每个周期的成交量会是多少,我们想要最后1s下单,肯定很多人也等待最后一秒下单,这将会干扰计算。实盘可以根据具体的情况再做优化,如考虑到最后下单的量,或者自定义周期为上个周期的一半加本周期的一半,不抢最后一秒等。
还有很多人愿意亏损解锁,可以把交易成本c设置为低于实际成本。
如果想下单后立即反手平仓,则交易量比最优减半就行,成本c相应为手续费加上约万分之2.5。
本文为FMZ量化平台原创文章,转账注明出处:https://www.fmz.com/bbs-topic-new/5834
买好币上币库:https://www.kucoin.com/r/1f7w3